Current Electricity and Electrical InstrumentHard
Question
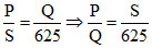
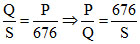
A whetstone′s bridge is balanced with a resistance of 625 Ω in the third arm, where P, Q and S are in the 1st 2nd 4th arm respectively. If P and Q are interchanged, the resistance in the third arm has to be increased by 51Ω to secure balance. The unknown resistance in the fourth arm is


Options
A.625 W
B.650 Ω
C.676 Ω
D.600 Ω
Solution
From (i) & (ii)
(676) (625) = S2 ⇒ S = 650Ω
Create a free account to view solution
View Solution FreeTopic: Current Electricity and Electrical Instrument·Practice all Current Electricity and Electrical Instrument questions
More Current Electricity and Electrical Instrument Questions
A small signal voltage V(t) = V0 sin ωt is applied across an ideal capacitor C:...The emf of a standard cell is balanced at 150 cm length of a potentiometer wire. When this cell is shunted by a 2ohm res...The power dissipated in the circuit shown in the figure is 30 Watts. The value of R is...A 25 cm long solenoid has radius 2 cm and 500 total number of turns. It carries a current of 15 A. If it isequivalent to...Two wires of resistance R1 and R2 at 0o C have temperature coefficient of resistance a1 and a2, respectively. These are ...