Current Electricity and Electrical InstrumentHard
Question
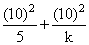
The power dissipated in the circuit shown in the figure is 30 Watts. The value of R is


Options
A.30 Ω
B.20 Ω
C.15 Ω
D.10 Ω
Solution
Total power dissipated is
= 30 watt
R = 10 Ω
= 30 wattR = 10 Ω
Create a free account to view solution
View Solution FreeTopic: Current Electricity and Electrical Instrument·Practice all Current Electricity and Electrical Instrument questions
More Current Electricity and Electrical Instrument Questions
A wheatstone bridge is initially at room temperature and all arms of the bridge have same value of resistances $\left( R...At time t = 0, terminal A in the circuit shown in the figure is connected to B by a key and an alternating current I(t) ...In a potentiometer wire experiment the emf of a battery in the primary circuit is 20V and its internal resistances is 5&...A potentiometer wire has length 4 m and resistance 8Ω The resistance that must be connected in series with the wire...In a meter bridge the null point is obtained at the middle point of the wire. If in one gap the resistance is 10Ω, ...