Momentum and CollisionHard
Question
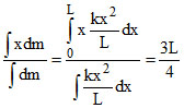
The centre of mass of a non uniform rod of length L whose mass per unit length varies as ρ = kx2/L (where k is constant and x is the distance measured from one end) is at the following distance from the same end.
Options
A.3L / 4
B.L / 4
C.2L / 3
D.L / 3
More Momentum and Collision Questions
A force F is needed to break a copper wire having radius R. The force needed to break a copper wire of radius 2R will be...The ring of radius 1m is lying on the surface of liquid. It is lifted from the liquid surface by a force of 4 Newtons in...A massless inelastic thread passes over a small frictionless pulley. Two identical blocks A and B of mass m = 2 kg are a...Water coming out of the mouth of a tap and falling vertically in streamline flow forms a tapering column, i. e. , the ar...A wheel has angular acceleration of 3.0 rad/s. In a time of 2 s it has rotated through an angle (in radian)of...