Nuclear Physics and RadioactivityHard
Question
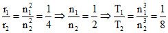
In an atom, two electrons move around the nuclei in circular orbits of radii R and 4R The. Ratio of the time taken by then complete one is (neglect electric interaction) :-
Options
A.1 : 4
B.4 : 1
C.1 : 8
D.8 : 1
More Nuclear Physics and Radioactivity Questions
The wavelength of line for an element of atomic number 43 is . Then the wavelength of for an element of atomic number 29...The compound unstable nucleus often decays in accordance with the following reaction + other particles. In the nuclear r...The half-life period of a radio-active element X is same as the mean life time of another radioactive element Y. Initial...The half life of a radioactive material is 5 years in his element probability of nucleus disintegration during 10 years ...The binding energies of nuclei X and Y are E1 and E2 respectively. Two atoms of X fuse to give one atom Y and an energy ...