Home
>
Math
>
Indefinite Integration
Indefinite Integration
Hard
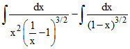
Question
is equal to -
Options
A.
+ c
B.
+ c
C.
+ c
D.
+ c
Solution
I =
dx =
dx
=
=
+ C =
+ C
Create a free account to view solution
View Solution Free
Topic:
Indefinite Integration
·
Practice all Indefinite Integration questions
More Indefinite Integration Questions
If = a log + b, then-...
equals-...
If $\int_{}^{}\ \left( \frac{1 - 5\cos^{2}x}{\sin^{5}x\cos^{2}x} \right)dx = f(x) + C$ where $C$ is the constant of inte...
If = A tan−1 + C, then -...
equals -...