Home
>
Math
>
Indefinite Integration
Indefinite Integration
Hard
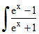
Question
dx is equal to-
Options
A.
log (ex + 1) + c
B.
log (e
x
− 1) + c
C.
2 log (e
x/2
+ e
x/2
) + c
D.
None of these
Solution
-
Create a free account to view solution
View Solution Free
Topic:
Indefinite Integration
·
Practice all Indefinite Integration questions
More Indefinite Integration Questions
is equal to-...
equals-...
dx equals-...
If = a ln (1 + x2) + btan-1x + ln | x + 2 | + C then -...
dx is equal to-...