SHMHard
Question
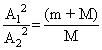
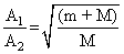
A mass M, attached to a horizontal spring, executes S.H.M. with amplitude A1. When the mass M passes through its mean position then a smaller mass m is placed over it and both of them move together withamplitude A2. The ratio of
is :
is : Options
A.

B.

C.

D.

Solution
Energy of simple harmonic oscillator is constant.
⇒
M ϖ2A12 =
(m + M)ϖ2A22

∴
⇒
M ϖ2A12 =
(m + M)ϖ2A22
∴

Create a free account to view solution
View Solution FreeMore SHM Questions
The bob of a single pendulum is a spherical hollow ball filled with water. A piugged hole near the bottom of the oscilla...The motion of a particle is represented by the function ″Asin2ωt + Bcos2ωt + Csincos″ where x, 	...A pendulum with time period of 1s is losing energy due to damping. At certain time its energy is 45 J. If after completi...The length of a simple pendulum executing simple harmonic motion is increased by 21%. The percentage increase in the tim...Two particles are oscillating along close parallel straight lines side by side, with the same frequency and amplitudes. ...