CircleHard
Question
Lines L1 : x + y = 2 and L2 : y -(2 + √3)x + (1 + √3) = 0 intersect circle S1 = 0 (radius r) at A,B and A,C respectively such that AB = AC = 10 and L3 = 0 is equation of tangent at point A of circle S1 = 0, then -
Options
A.r can be 
B.r can be 10
C.L3 = 0 can be y + (2 + √3)x - √3(1 + √3) = 0
D.L3 = 0 can be x - y(2 + √3) +(1 + √3) = 0
Solution

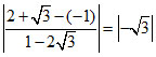
Angle between lines L1 & L2 is given by
tan θ =
⇒ θ =
cos 30o =
⇒ r =
tangent at point A are lines along angle bisectors of L1 & L2
x + y - 2 = ±
(√3 + 1)(x + y - 2) = ±(y - (2 + √3)x + 1 + √3)
Create a free account to view solution
View Solution FreeMore Circle Questions
The angle of intersection of circles x2 + y2 + 8x − 2y − 9 = 0 and x2 + y2 − 2x + 8y − 7 = 0 is ...The number of tangents that can be drawn from the point (8, 6) to the circle x2 + y2 _ 100 = 0 is...If (0, 1) and (1, 1) are end points of a diameter of a circle, then its equation is-...The equation of the tangent lines to the hyperbola x2 - 2y2 = 18 which are perpendicular to the line y = x are -...The equation of the circle which touches both the axes and the line + = 1 and lies in the first quadrant is (x _ c)2 + (...