Rotational MotionHard
Question
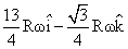
The figure shows a system consisting of (i) a ring of outer radius 3R rolling clockwise without slipping on a horizontal surface with angular speed ω and (ii) an inner disc of radius 2R rotating anti-clockwise with angular speed ω/2. The ring and disc are separated by frictionless ballbearings. The point P on the inner disc is at a distance R from the origin, where OP makes an angle of 300 with the horizontal. Then with respect to the horizontal surface,


Options
A.the point O has linear velocity 3Rω
B.the point P has linear velocity 

C.the point P has linear velocity 

D.the point P has linear velocity
More Rotational Motion Questions
A fly wheel is rotating about its axis at a constant angular velocity. If suddenly an object sticks to it on the rim, th...Two masses 400 g and 350 g are suspended from the ends of a light string passing over a heavy pulley of radius 2 cm . Wh...When a body starts to roll on an inclined plane, its potential energy is converted into...A uniform bar of length 6a and mass 8m lies on a smooth horizontal table. Two point masses m and 2m moving in the same h...A solid cylinder of mass M and radius R rolls without slipping down an inclined plane of length L and height h. What is ...





