Hard
Question
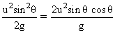
The horizontal range and the maximum height of a projectile are equal. The angle of projection of the projectile is
Options
A.θ = 45o
B.θ = tan-1 

C.θ = tan-1(4)
D.θ = tan-1(2)
More Physics Questions
Four diatomic species are listed below. Identify the correct order in which the bond order is increasing:...A particle is moving eastward with a velocity of 5 m/s. In 10 s the velocity changes to 5 m/s northwards. The average ac...A body is moving with velocity 30 m/s towards east. After 10 second its velocity becomes 40 m/s towards north. The avera...A projectile is projected at an angle a (> 45o) with an initial velocity u. The time t at which its horizontal compon...A ball is thrown upward at an angle of 30o with the horizontal and lands on the top edge of a building that is 20 m away...
