Solid StateHard
Question
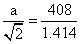
A metal crystallizes with a face-centered cubic lattice. The edge of the unit cell is 408 pm. The diameter of the metal atom is :
Options
A.204 pm
B.288 pm
C.408 pm
D.144 pm
More Solid State Questions
In a solid lattice, the cation has left a lattice site and is located at interstitial position, the lattice defect is :...Square packed sheets are arranged on the top of other such that a sphere in the next layer rests on the center of a squa...What is the maximum number of layers of atoms in close packed planes that will lie within two imaginary parallel planes ...The density of KBr is 2.75 g-cm-3 and length of the unit cell is 654 pm (K = 39 and Br = 80) then what is true about the...Which of the following is/are pseudo solids ?I. KCI II. Barium chloride dihydrateIII. RubberIV. Solid cake left after di...
= 288 pm