Magnetic field due to currentHard
Question
A proton carrying 1 MeV kinetic energy is moving in a circular path of radius R in uniform magnetic field. What should be the energy of an α-particle to describe a circle of same radius in the samefield?
Options
A.4 MeV
B.2 MeV
C.1 MeV
D.0.5 MeV
Solution

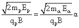
For equal readius of proton and α-particle



Eα = Ep                  Eα = 1MeV
Create a free account to view solution
View Solution FreeMore Magnetic field due to current Questions
A charged particle enters a uniform magnetic field perpendicular to its initial direction traveling in air. The path of ...If permeability of vacuum is μ0 and relative permeability is μr then permeability of the medium will be :-...A non relativistic α particle is moving along a circle of radius R with a constant angular velocity ω. Point A...Current i = 2.5 A flows along the circle x2 + y2 = 9 cm2(here x & y in cm) as shown. Magnetic field point (0, 0, 4 cm) i...A current of 1/4π ampere is flowing through a toroid. It has 1000 number of turn per meter then value of magnetic f...