Atomic StructureHard
Question
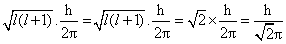
The orbital angular momentum of a p-electron is given as:
Options
A.√6(h/2∏)
B.√2 (h/2∏)
C.√3(h/2∏)
D.√(3/2) (h/2∏)
More Atomic Structure Questions
Which of the following compounds, conjugate base is stablized by d-orbital resonance -...The potential energy of the electron present in the ground state of Be3+ ion is represented by:...The debroglie wavelength associated with a particle of mass 10-6 kg moving with a velocity of 10ms-1 is...A series of lines in the spectrum of atomic hydrogen lines at wavelength 656.46, 486.27, 434.17, 410.29 nm. What is the ...The average and the most probable distance from the nucleus for 1s electron in hydrogen atom are, respectively (ao is th...
