Quadratic EquationHard
Question
A value of b for which the equations
x2 + bx - 1 = 0
x2 + x + b = 0,
have one root in common is
x2 + bx - 1 = 0
x2 + x + b = 0,
have one root in common is
Options
A.-√2
B.-i√3
C.i√5
D.√2
Solution
x2 + bx - 1 = 0
x2 + x + b = 0, .....(1)
Common root is
(b - 1) x - 1 - b = 0
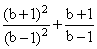
⇒ x =
This value of x satisfies equation (1)
⇒
+ b = 0 ⇒ b = √3i, - √3i, 0.
x2 + x + b = 0, .....(1)
Common root is
(b - 1) x - 1 - b = 0
⇒ x =

This value of x satisfies equation (1)
⇒
+ b = 0 ⇒ b = √3i, - √3i, 0.Create a free account to view solution
View Solution FreeMore Quadratic Equation Questions
Two students solve a quadratic equation x2 + bx + c= 0. One student solves the equation by taking wrong value of b and g...The roots of the equation (p − 2) x2 + 2 (p − 2) x + 2 = 0 are not real when -...If a > 0, b > 0, c > 0, then both the roots of the equation ax2 + bx + c = 0 -...The largest interval for which x12 - x9 + x4 - x +1 > 0 is...Let a ∈ R and let f : R → R be given by f(x) = x5 - 5x + a. Then...