Atomic StructureHard
Question
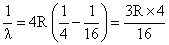
The wavelength of the first spectral line in the Balmer series of hydrogen atom is 6561
The wavelength of the second spectral line in the Balmer series of singly-ionized helium atom is
The wavelength of the second spectral line in the Balmer series of singly-ionized helium atom is Options
A.1215 

B.1640 

C.2430 

D.4687 

More Atomic Structure Questions
The stopping potential double when the frequency of the incident light change from v to . Then the work function of the ...The reaction responsible for the production of light energy from the will be :...Figure shows an electron gun that emits electrons at very small angel with axis. The paraxial electrons emitted from the...If the electron in hydrogen orbit jumps from third orbit to second, the wavelength of the emitted radiation is given by ...The minimum potential different between the base and emitter required to switch a silicon transistor ′ON′ is...

