JEE Advanced | 2013X raysHard
Question
Using the expression 2d sin θ = λ one calculates the values of d by measuring the corresponding angles θ in the range 0 to 90o. The wavelength λ is exactly known and the error in θ is constant for all values of θ. As θ increases from 0o :-
Options
A.the absolute error in d remains constant
B.the absolute error in d increases
C.the fractional error in d remains constant
D.the fractional error in d decreases
Solution

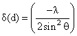
cosθ δθ θ{δθ = constant}as θ increases,
decreases so Absolute error |δ(d)| decreases
Also fractional error

fractional error

as θ increases, cotθ decreases
So fractional error decreases
Create a free account to view solution
View Solution FreeMore X rays Questions
Which one of the following statements is WRONG in the context of X-rays generated from a X-ray tube?...λmin of X-rays depends on :-...The ionisation energies of K-shell for cobalt, copper, and molebdenum are 7.8, 9.0 and 20.1 KeV respectively. If any met...Which of the following radiations has the least wavelength?...If voltage of X-ray tube is doubled then intensity of X-rays will :-...