Hard
Question
A particle at a height ′h′ from the ground is projected with an angle 30o from the horizontal, it strikes the ground making angle 45o with horizontal. It is again projected from the same point at height h with the same speed but with an angle of 60o with horizontal. Find the angle it makes with the horizontal when it strikes the ground :
Options
A.tan-1 (4)
B.tan-1 (5)
C.tan-1 (√5)
D.tan-1 (√3)
Solution
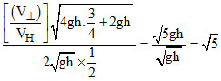
using v = 
v =
(vertical comp. when striking)
Now tan 45o = 1
u cosθ =

u2 cos2 θ = u2 sin2 θ + 2gh .........(1)
u2
= 2gh
u2 = 4gh
u = 2

tan θ =
v =
Now tan 45o = 1
u cosθ =

u2 cos2 θ = u2 sin2 θ + 2gh .........(1)
u2
u2 = 4gh
u = 2

tan θ =
Create a free account to view solution
View Solution FreeMore Physics Questions
A particle is moving eastward with a velocity of 5 m/s. In 10 s the velocity changes to 5 m/s northwards. The average ac...In the arrangement shown in the figure the ends P and Q of an unstale string move downwards with uniform speed U. Pully ...A particle has initial velocity and acceleration The magnitude of velocityafter 10 seconds will be...A projectile is fired at an angle θ with the horizontal. Find the condition under which it lands perpendicular on a...A particle is projected from a point (0, 1) on Y-axis (assume + Y direction vertically upwards) aiming towards a point (...