Complex NumbersHard
Question
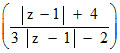
If log1/2
> 1, then find locus of z
Options
A.Exterior to circle with center 1 + i0 and radius 10
B.Interior to circle with center 1 + i0 and radius 10
C.Circle with center 1 + i0 and radius 10
D.None of these
Solution
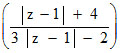
og1/2
> 1
0 <
|z - 1| = t
0 <
0 <
⇒ t > 10 So true
0 <
0 <
0 <
⇒ t > 10 So true
Create a free account to view solution
View Solution FreeMore Complex Numbers Questions
(i10 + 1)(i9 + 1) (i8 + 1)..........(i + 1) equals-...If w is cube root of unity then the value of (1 + ω) (1 + ω2) (1 + ω4) (1 + ω8) ...... 2n is-...On the arg and plane, let α = -2 + 3z , β = -2 - 3z & | z | = 1. Then the correct statement is -...The value of (1 + i)2n + (1 − i)2n (n ∈ N) is zero, if -...Which of the following complex numbers lies along the angle bisectors of the line -L1 : z = ( 1 + 3λ) + i(1 + 4_...