DifferentiationHard
Question
y = cos-1
, then
is equal to
Options
A.
B.
C.
D.
Solution
y = cos-1

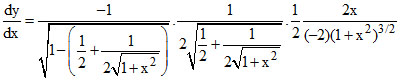
⇒
⇒
⇒
when x > 0

Alternate :
put x = tanθ
tan-1 x = θ ∈
y = cos-1
= cos-1 
y = cos-1 (cosθ/2)
y =

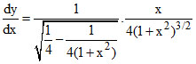
⇒
⇒
⇒
when x > 0
Alternate :
put x = tanθ
tan-1 x = θ ∈
y = cos-1
y = cos-1 (cosθ/2)
y =
Create a free account to view solution
View Solution Free