DifferentiationHard
Question
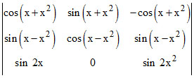
If f(x) =
, then
Options
A.f(-2) = 0
B.f′(-1/2) = 0
C.f′(-1) = - 2
D.f″(0) = 4
Solution
f(x) = sin 2x{sin(x + x2).sin (x - x2) + cos(x + x2) cos(x - x2)} + sin 2x2{cos (x + x2) cos(x - x2)
- sin (x - x2) sin (x + x2)}
⇒ f(x) = sin 2x.cos 2x2 + cos 2x.sin 2x2
⇒ f(x) = sin (2x + 2x2)
⇒ f′(x) = (2 + 4x) cos (2x + 2x2)
Now
f′
= (2 - 2) cos
= 0
f′(-1) = -2 cos 0 = - 2
f″(x) = 4 cos (2x + 2x2) - (2 + 4x)2 sin (2x + 2x2)
f″(0) = 4 - 0 = 4
- sin (x - x2) sin (x + x2)}
⇒ f(x) = sin 2x.cos 2x2 + cos 2x.sin 2x2
⇒ f(x) = sin (2x + 2x2)
⇒ f′(x) = (2 + 4x) cos (2x + 2x2)
Now
f′
f′(-1) = -2 cos 0 = - 2
f″(x) = 4 cos (2x + 2x2) - (2 + 4x)2 sin (2x + 2x2)
f″(0) = 4 - 0 = 4
Create a free account to view solution
View Solution FreeMore Differentiation Questions
If x = y ln(xy), then equals-...Differential coefficient of with respect to sin−1 x is -...If f is twice differentiable such that f¢¢(x) = - f(x) and f′(x) = g(x). If h(x) is a twice differentiable functio...If f(x) = cos x, g(x) = log x and y = (gof) (x), then the value of dy/dx at x= 0 is -...If y = , then the value of (1 − y log sin x) dy/dx is -...