Home
>
Math
>
Differentiation
Differentiation
Hard
Question
If x = at
2
, y = 2at, then
=
Options
A.
B.
C.
D.
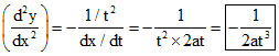
Solution
x = at
2
y = 2at
= 2at
= 2a
Create a free account to view solution
View Solution Free
Topic:
Differentiation
·
Practice all Differentiation questions
More Differentiation Questions
d/dxequals-...
If g(x) = x tan−1 x, then the value of g′(1) equals-...
If y = log + sin−1 (cos x), then dy/dx is equal to-...
If f is twice differentiable such that f¢¢(x) = - f(x) and f′(x) = g(x). If h(x) is a twice differentiable functio...
d/dx (log10x) equals -...