DifferentiationHard
Question
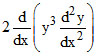
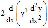
If y2 = P(x) is a polynomial of degree 3, then 2
is equal to
Options
A.P″′(x) + P′(x)
B.P″(x). P″′(x)
C.P(x) . P″′(x)
D.a constant
Solution
y2 = P(x)
⇒ 2y
= P′(x)
⇒
⇒
⇒ 2y3
= y2 P″(x) - P′(x) . y 
⇒ 2y3 = P(x) P″(x) -
∵ y2 = P(x) & y 
⇒
= P′(x) . P″(x) + P(x) . P″′(x) - 2
∴
= P(x) . P″′(x)
⇒ 2y
⇒
⇒
⇒ 2y3
⇒ 2y3 = P(x) P″(x) -
⇒
= P′(x) . P″(x) + P(x) . P″′(x) - 2
∴
Create a free account to view solution
View Solution FreeMore Differentiation Questions
If ex + ey = ex+y, then dy/dx equals-...If x = cosecθ - sinθ ; y = cosecnθ - sinnθ, then (x2 + 4) - n2y2 equals to...equals, if - π < θ < π -...If y = log , then dy/dx at x = 0 equals-...If ƒ(x) = 3ex2 then ƒ′ (x) − 2xƒ(x) + ƒ(0) − ƒ′(0) is equal to -...