JEE Advanced | 2013ElectrostaticsHard
Question
Two non-conducting solid spheres of radii R and 2R, having uniform volume charge densities ρ1 and ρ2 respectively, touch each other. The net electric field at a distance 2R from the centre of the smaller sphere, along the line joining the centres of the spheres, is zero. The ratio ρ1 /ρ2 can be
Options
A.- 4
B.

C.

D.4
Solution


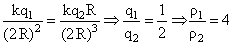
if Enet = 0 at point A then


if Enet = 0 at point B then
Create a free account to view solution
View Solution FreeMore Electrostatics Questions
Electric field at a distance x from origin is given as E = , then potential difference between points situated at x = 10...A square surface of side L meter in the plane of the paper is placed in a uniform electric field E (volt/m) acting along...Three charges of 0.1C each are placed on the corners of an equilateral triangle of side 1.0m. If the energy is supplied ...The dipole moment of a system of charge +q distributed uniformly on an arc of radius R subtending an angle π / 2 at...How many electrons make up a charge of 20μC...