LimitsHard
Question
The function f(x) = 
Options
A.continuous at x = 1
B.differentiable at x = 1
C.continuous at x = 3
D.differentiable at x = 3
Solution
f(x) = 
Clearly it is continuous at x = 1
f(1+) = f(1+) = f(1)
at x = 3 f(3+) = f(3+) = f(3) = 0
It is continuous at x = 3
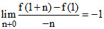
f(1+) =
f(1-) =

⇒ -1
Clearly it is continuous at x = 1
f(1+) = f(1+) = f(1)
at x = 3 f(3+) = f(3+) = f(3) = 0
It is continuous at x = 3
f(1+) =
f(1-) =
⇒ -1
Create a free account to view solution
View Solution Free