LimitsHard
Question
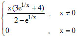
If f(x) =
, then f(x) is
Options
A.continuous as well differentiable at x = 0
B.continuous but not differentiable at x = 0
C.neither differentiable at x = 0 nor continuous at x = 0
D.none of these
Solution
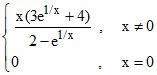
f(x) = 
f′(0-) =
f′(0+) =
not differentiable
f(x) = 0 =
f(x) = f(0) continuous
f′(0-) =
f′(0+) =
Create a free account to view solution
View Solution Free