Indefinite IntegrationHard
Question
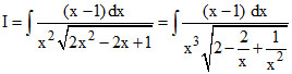
If
+ C, then
Options
A.f(x) = 2x2 - 2x + 1
B.g(x) = x + 1
C.g(x) = x
D.f(x) = 
Solution
⇒ I =
So f(x) =
Create a free account to view solution
View Solution FreeCreate a free account to view solution
View Solution Free