Indefinite IntegrationHard
Question
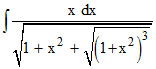
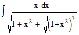
The value of
is equal to:
Options
A.
ln (1 +
) + C
B.2
+ C
C.2(1 +
) + C
D.none of these
Solution
I =
Put 1 + x2 = t2 , then 2x dx = 2t dt
⇒ I =
= 2
+ C
⇒ I =
= 2
Create a free account to view solution
View Solution Free