Indefinite IntegrationHard

Question

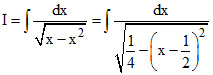
The value of is equal to

Options

A.2 sin-1 √x + C
B.sin-1 (2x - 1) + C
C.C - 2 cos-1 (2x - 1)
D.cos-1 2 + C

Solution


= sin-1 = sin-1 (2x - 1) + C         ..... (1)
Also I =    put √x = t ⇒ dx = dt
⇒  I = = 2 sin-1 √x + C   .......(2)
Now Let   θ = sin-1 (2x - 1)
⇒  sin θ = 2x - 1  ⇒  cos θ =
θ = cos-1 2

Create a free account to view solution

View Solution Free
Topic: Indefinite Integration·Practice all Indefinite Integration questions

More Indefinite Integration Questions