Indefinite IntegrationHard
Question
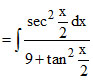
If
= I tan-1
+ C then :
Options
A.I = 2/3
B.m = 1/3
C.I = 1/3
D.m = 2/3
Solution
Let I =
= I tan-1 + C

Put tan x/2 = t ⇒ sec2 x/2 dx = 2dt
⇒ I = 2
+ C ⇒ I =
, m = 
⇒ I = 2
Create a free account to view solution
View Solution Free