Home
>
Math
>
Indefinite Integration
Indefinite Integration
Hard
Question
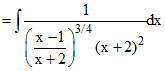
The value of
dx is equal to
Options
A.
B.
C.
D.
Solution
I =
dx
Put
⇒
dx = dt
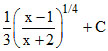
⇒ I =
+ C =
Create a free account to view solution
View Solution Free
Topic:
Indefinite Integration
·
Practice all Indefinite Integration questions
More Indefinite Integration Questions
+ C, then...
The value of ∫etan-1 x dx is equal to...
sin3 x dx is equal to-...
dx equals-dx equals-...
If $\int_{}^{}\ \left( \frac{1 - 5\cos^{2}x}{\sin^{5}x\cos^{2}x} \right)dx = f(x) + C$ where $C$ is the constant of inte...