Indefinite IntegrationHard

Question

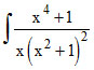
If dx = A l |x| + + c, where c is the constant of integration then :

Options

A.A = 1 ; B = -1
B.A = -1 ; B = 1
C.A = -1 ; B = 1
D.A = -1 ; B = -1

Solution

dx = dx
= ln |x|- dx = ln | x | + + c

Create a free account to view solution

View Solution Free
Topic: Indefinite Integration·Practice all Indefinite Integration questions

More Indefinite Integration Questions