Home
>
Math
>
Indefinite Integration
Indefinite Integration
Hard
Question
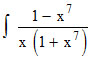
The value of
dx is equal to
Options
A.
ln |x| + 2/7 ln |1 + x
7
| + C
B.
ln |x| - 2/7 ln |1 - x
7
| + C
C.
ln |x| - 2/7 ln |1 + x
7
| + C
D.
ln |x| + 2/7 ln |1 - x
7
| + C
Solution
=
= ln |x| -2/7 ln |1 + x
7
| + C
Create a free account to view solution
View Solution Free
Topic:
Indefinite Integration
·
Practice all Indefinite Integration questions
More Indefinite Integration Questions
dx equals-...
+ C, then...
dx is equal to-...
If f(x) = dx, x ≠ 0 then f′(x) is equal to -...
dx equals-...