Indefinite IntegrationHard
Question
Options
A.A =
, B = 1
B.A = 1, B = - 
C.A = -
, B = 1
D.none of these
Solution
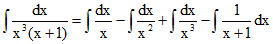
I = 
Let
1 = a(x + 1)x2 + bx(x + 1) + c(x + 1)) + dx3 = a + b + c(x + 1) + dx3
0 = a + d
0 = a + b
0 = b + c
c = 1, b = -1, a = 1, d = -1
⇒
= ln|x| +
- ln|x + 1| + C
Comparing
B = 1, A = -
Let
1 = a(x + 1)x2 + bx(x + 1) + c(x + 1)) + dx3 = a + b + c(x + 1) + dx3
0 = a + d
0 = a + b
0 = b + c
c = 1, b = -1, a = 1, d = -1
⇒
= ln|x| +
Comparing
B = 1, A = -
Create a free account to view solution
View Solution Free