Center of MassHard
Question
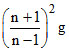
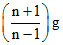
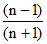
Two particles having mass ratio n : 1 are interconnected by a light inextensible string that passes over a smooth pulley. If the system is released, then the acceleration of the centre of mass of the system is :
Options
A.(n − 1)2 g
B.
C.
D.
More Center of Mass Questions
Two particles approach each other with different velocities. After collision, one of the particles has a momentum in the...The fig. shows a string of equally spaced beads of mass m, separated by distance d. The beads are free to slide without ...A small ball collide with a heavy ball initially at rest. In the absence of any external impulsive force, it is possible...There are hundred identical sliders equally spaced on a frictionless track as shown in the figure. Initially all the sli...Two spherical bodies of mass M and 5M and radii R and 2R respectively are released in free space with initial separation...
