FunctionHard
Question
If domain of f(x) is (- ∞ , 0], then domain of f(6{x}2 - 5 {x} + 1) is (where {.} represents fractional part function).
Options
A.
B.(- ∞, 0)
C.
D.none of these
Solution
f(6{x}2 - 5{x} + 1)
f((3{x} - 1) (2 {x} - 1))
(3{x} - 1) (2{x} - 1) ≤ 0
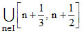
or {x} ∈
∴ x ∈
f((3{x} - 1) (2 {x} - 1))
(3{x} - 1) (2{x} - 1) ≤ 0
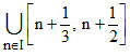
or {x} ∈
∴ x ∈
Create a free account to view solution
View Solution FreeMore Function Questions
Range of f(x) = 4x + 2x + 1 is...Let [x] be the greatest integer less than or equals to x. Then, at which of the following point(s) the function f(x)=xÂ...Let f : R → R be a function such that f (x + y) = f (x) + f (y), ∀ x, y ∈ R. If f(x) is is differeniab...If f : I → I,f (x) = x3 + 1, then f is -...The range of f : R+ → R+, f(x) = ex is -...