JEE Advanced | 2015Straight LineHard
Question
Let E1 and E2 be two ellipses whose centers are at the origin. The major axes of E1 and E2 lie along the x-axis and the y-axis, respectively. Let S be the circle x2 + (y − 1)2 = 2. The straight line x + y = 3 touches the curves S, E1 and E2 at P,Q and R, respectively. Suppose that PQ = PR =
If e1 and e2 are the eccentricities of E1 and E2, respectively, then the correct expression(s) is(are)
Options
A.e12 + e22 = 
B.e1 + e2 = 
C.|e12 − e22 | = 
D.e1e2 = 
Solution
Let E1 :
(a > b)
& E2 :
(c < d)
& S : x2 + (y - 1)2 = 2
& tangent to E1, E2 & S is x + y = 3
Now, point of contact of S & tangent is (x1, y1)
Let x = X & y - 1 = Y
∴ X2 + Y2 = 2
& X + Y = 2
Let (X1, Y1) be point of contact.
∴ XX1 + YY1 = 2
∴ X1 = 1 & Y1 = 1
∴ x1 = 1 & y1 = 2
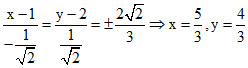
Now, parametric equation of x + y = 3
is
⇒
∴ P ≡ (1, 2), Q ≡
& R ≡ 
Now, equation tangent at Q on ellipse E1
Comparing it with x + y = 3
∴ a2 = 5 & b2 = 4 Now, e12 = 1 -
Similarly, e22 =
∴ e12e22 =
⇒ e1e2 = 
e12 + e22 =
; |e12 - e22 | = 
∴ (A) & (B)
& E2 :
& S : x2 + (y - 1)2 = 2
& tangent to E1, E2 & S is x + y = 3
Now, point of contact of S & tangent is (x1, y1)
Let x = X & y - 1 = Y
∴ X2 + Y2 = 2
& X + Y = 2
Let (X1, Y1) be point of contact.
∴ XX1 + YY1 = 2
∴ X1 = 1 & Y1 = 1
∴ x1 = 1 & y1 = 2
Now, parametric equation of x + y = 3
is
⇒
∴ P ≡ (1, 2), Q ≡
Now, equation tangent at Q on ellipse E1
∴ a2 = 5 & b2 = 4 Now, e12 = 1 -
Similarly, e22 =
e12 + e22 =
∴ (A) & (B)
Create a free account to view solution
View Solution FreeMore Straight Line Questions
A straight line L through the point (3, - 2) is inclined at an angle 60o to the line √3x + y = 1. If L also inters...If the lines ax + by + c = 0, bx + cy + a = 0 and cx + ay + b = 0 be concurrent, then -...The poinr (4, 1) undergoes the following three transformations successively (I) Reflection about the line y = x (II) Tra...The equation of base of an equilateral triangle is x + y = 2. The vertex is (2, −1) then area of triangle is-...The equation of the lines which pass through theorigin and are inclined at an angle tan-1 m to theline y = mx + c, are -...