Straight LineHard
Question
A straight line L through the point (3, - 2) is inclined at an angle 60o to the line √3x + y = 1. If L also intersects the x-axis, then the equation of L is
Options
A.y + √3x + 2 - 3 √3 = 0
B.y + √3x + 2 - 3 √3 = 0
C.√3y - x + 3 + 2√3 = 0
D.√3y + x - 3 + 2√3 = 0
Solution


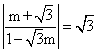
⇒ m + √3 =
(√3 - 3m )⇒ 4m = 0 ⇒ m = 0
or 2m = 2√3 ⇒ m = √3
∴ Equation is 2m = 2Ω3 ⇒ m = √3
⇒ √3 x - y - (2 + 3√3) = 0
Create a free account to view solution
View Solution FreeMore Straight Line Questions
If P = (1,0),Q = (-1,0) and R = (2,0) are three given points, then locus of the points satisfying the relation SQ2 + SR2...If non-zero numbers a, b, c are in H.P., then the straight line = 0 always passes through a fixed point. That point is...Number of straight lines from (1, 1) which make area of 1 sq. units with the coordinate axes is equal to -...Combined equation of pair of image lines of the pair of straight lines y2 - 2xy - 4y + 8x = 0, on x-axis, is-...The equation of the line joining the point (3, 5) to the point of intersection of the lines 4x + y − 1 = 0 and 7x ...