Home
>
Math
>
Definite Integration
Definite Integration
Hard
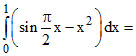
Question
The ratio in which the curve y = x
2
divides the region bounded by the curve; y = sin
and the x-axis as x varies from 0 to 1, is :
Options
A.
2 : π
B.
1 : 3
C.
3 : π
D.
(6 - π) : π
Solution
A
1
=
=
∴
Create a free account to view solution
View Solution Free
Topic:
Definite Integration
·
Practice all Definite Integration questions
More Definite Integration Questions
The area bounded by the curve f(x) = x + sin x and its inverse function between the ordinates x = 0 and x = 2π is...
dx is equal to -...
x dx equals -...
The value of dr is -...
The value of the function f (x) = 1 + x + (ln2t + 2 lnt) dt, where f′(x) vanishes is:...