Definite IntegrationHard
Question
Suppose for every integer n,
. The value of
is :
Options
A.16
B.14
C.19
D.21
Solution
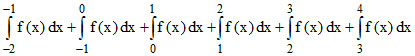
I =
= (-2)2 + (-1)2 + 0 + 12 + 22 + 32
[using given relation]
= 19
= (-2)2 + (-1)2 + 0 + 12 + 22 + 32
[using given relation]
= 19
Create a free account to view solution
View Solution FreeMore Definite Integration Questions
The expression , where [x] and {x} are integral and fractional parts of x and is equal to-...Given f is an odd function defined everywhere, periodic with period 2 and integrable on every interval. Let g(x) = f(t) ...If f(x) = |x| + |x − 1|, then equals-...dx equals-...If f(x) = 2{x}, where {x} denotes the fractional part of x. Then which of the following is true ?...