Application of DerivativeHard
Question
Which of the following statements are true :
Options
A.|tan-1 x - tan-1 y| |x – y| , where x, y are real numbers.
B.The function x100 + sin x - 1 is strictly increasing in [0, 1]
C.If a, b, c are is A.P, then at least one root of the equation 3ax2 - 4bx + c = 0 is positive
D.Curve y2 = 4ax and y = e-x/2a are orthogonal curves.
Solution
(A) let f(x) = tan-1x
f′(x) =
∴ |f′(c)| =
< 1
< 1
(B) Let f(x) = x100 + sin x - 1
f′(x) = 100x99 + cosx > 0, x ∈ [0, 1]
⇒ f(x) is increasing.
(C) Suppose f(x) = ax3 - 2bx2 + cx, then clearly f(0) = 0
and f(1) = a - 2b + c = 0,
∵ f(0) = f(1)
∴ By Rolle′s theorem f′(x) = 3ax2 - 4bx + c = 0
for atleast one x in (0, 1) which is positive
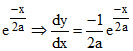
(D) y2 = 4ax ⇒
y =
=
y
Product of slopes =
= - 1
f′(x) =
∴ |f′(c)| =
(B) Let f(x) = x100 + sin x - 1
f′(x) = 100x99 + cosx > 0, x ∈ [0, 1]
⇒ f(x) is increasing.
(C) Suppose f(x) = ax3 - 2bx2 + cx, then clearly f(0) = 0
and f(1) = a - 2b + c = 0,
∵ f(0) = f(1)
∴ By Rolle′s theorem f′(x) = 3ax2 - 4bx + c = 0
for atleast one x in (0, 1) which is positive
(D) y2 = 4ax ⇒
y =
=
Product of slopes =
Create a free account to view solution
View Solution FreeMore Application of Derivative Questions
The curve y = f(x) which satisfies the condition f′ (x) > 0 and f′′ (x) < 0 for all real x, is:...Consider an electric field , where E0 is a constant. The flux through the shaded area (as shown in the figure) due to th...Let p(x) = a0 + a1 x2 + a2x4 + ..... + anx2n be a polynomial ina real variable xwith 0 0 1 1 n The function P(x) has...At what point the tangent to the curve √x + √y = √a is perpendicular to the x- axis-...The line = 1 touches the curve y = be-x/a at the point...