Application of DerivativeHard
Question
If f(x) = tan-1x - (1/2) ln x. Then
Options
A.the greatest value of f(x) on [1/ √3, √3] is π/6 + (1/4) ln 3
B.the least value of f(x) on [1/ √3, √3] is π/3 - (1/4) ln 3
C.f(x) decreases on (0, ∞)
D.f(x) increases on (-∞, 0)
Solution
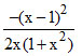
f′(x) =
, x > 0
=
≤ 0 ∀ x > 0
= f(x) is decreasing ∀ x > 0.
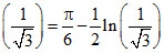
On
, greatest value is
and least value is
f(√3) =
ln√3
=
= f(x) is decreasing ∀ x > 0.
On
f(√3) =
Create a free account to view solution
View Solution FreeMore Application of Derivative Questions
The distance between the origin and the normal to the curve y = e2x + x2 at the point x = 0 is-...If P is a point on the curve 5x2 + 3xy + y2 = 2 and O is the origin, then OP has...The straight line x + y = a will be tangent to = 1, if a equals to -...A point is moving along the curve y3 = 27x. The interval in which the abscissa changes at slower rate than ordinate, is ...The maximum value of (cos α1).(cos α2) ...... (cos αn) under the restrictions 0 ≤ α1, α2,...