Application of DerivativeHard
Question
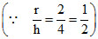
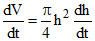
Water is poured into an inverted conical vessel of which the radius of the base is 2 m and height 4 m, at the rate of 77 litre/minute. The rate at which the water level is rising at the instant when the depth is 70 cm is (use π = 22/7)
Options
A.10 cm/min
B.20 cm/min
C.40 cm/min
D.none
Solution

V =
V =
77 × 103 =
∴
Create a free account to view solution
View Solution FreeMore Application of Derivative Questions
The equation of normal to the curve x2 + y2 = a2 at the point is-...The equation of the normal to the curve y2 = 4ax at point (a, 2a) is-...The surface area of a sphere when its volume is increasing at the same rate as its radius,is-...At the point P(a, an) on the graph of y = xn(n ∈ N) in the first quadrant a normal is drawn. The normal intersects...The number of values of x, where the function f (x) = cos x + cos (√2x) attains its maximum, is...