Work, Power and EnergyHard
Question
A particle is moving in a circle of radius r under the action of a force F = αr2 which is directed towards centre of the circle. Total mechanical energy (kinetic energy + potential energy) of the particle is (take potential energy = 0 for r = 0) :
Options
A.1/2 αr3
B.5/6 αr3
C.4/3 αr3
D.αr3
Solution
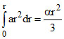
dU = F.dr
U =
= αr2
m2v2 = mαr3
2m(KE) =
αr3
Total E =
αr3
U =
m2v2 = mαr3
2m(KE) =
Total E =
Create a free account to view solution
View Solution FreeMore Work, Power and Energy Questions
A man of mass m standing at the bottom of the staircase of height L climbs it and stands at its top...The maximum velocity of an electron emitted by light of wevelength λ indent on the surface of a metal of work - fun...A motor of 100 H.P. is moving with a constant velocity of 72 km/hour. The forward force exerted by the engine on the car...A sample of 0.1 g of water at 100oC and normal pressure (1.013 ×105 Nm-2) requires 54 cal of heat energy to convert...A car of mass 400 kg and travelling at 72 kmph crashes into a truck of mass 4000 kg and travelling at 9 kmph, in the sam...