CircleHard
Question
If the tangent to the conic, y − 6 = x2 at (2, 10) touches the circle, x2 + y2 + 8x − 2y = k (for some fixed k) at a point (α, β); then (α, β) is :
Options
A.
B.
C.
D.
Solution
y′ = 2x at (2, 10), y′ = 4
tangent y - 10 = 4(x - 2)
⇒ y = 4x + 2 ⇒ 4x - y + 2 = 0
Pass (α, β) ⇒ 4α - β + 2 = 0 ⇒ β = 4α + 2 ......(1)
and 2x + 2y y′ + 8 - 2 y′ = 0
y′ =
= 2 ........ (2)
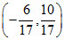
from 1 & 2 we get α =
tangent y - 10 = 4(x - 2)
⇒ y = 4x + 2 ⇒ 4x - y + 2 = 0
Pass (α, β) ⇒ 4α - β + 2 = 0 ⇒ β = 4α + 2 ......(1)
and 2x + 2y y′ + 8 - 2 y′ = 0
y′ =
from 1 & 2 we get α =
Create a free account to view solution
View Solution FreeMore Circle Questions
The distance between the chords of contact of tangents to the circle x2 + y2 + 2gx + 2fy + c = 0 from the origin and fro...The tangent at any point to the circle x2 + y2 = r2 meets the coordinate axes at A and B. If lines drawn parallel to the...In a system of three curves C1, C2 and C3. C1 is a circle whose equation is x2 + y2 = 4. C2 is the locus of orthogonal t...The equation of a circle which passes through the three points (3, 0) (1, -6), (4, -1) is -...If from any point P on the circle x2 + y2 + 2gx + 2fy + c = 0, tangents are drawn to the circle x2 + y2 + 2gx + 2fy + c ...