AIPMT | 2015SHMHard
Question
A particle is executing SHM along a straight line. Its velocities at distances x1 and x2 from the mean position are V1 and V2, respectively. Its time period is :-
Options
A.
B.
C.
D.
Solution
For particle undergoing SHM
V = ω
So V1 = ω
& V2 = ω
solving these two equations we get
ω =
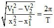
⇒ T = 2π
Hence option (1)
V = ω
So V1 = ω
solving these two equations we get
ω =
⇒ T = 2π
Hence option (1)
Create a free account to view solution
View Solution FreeMore SHM Questions
A particle performing S.H.M. is found at its equilibrium at t = 1 sand it is found to have a speed of 0.25 m/s at t = 2s...A wooden block performs SHM on a frictionless surfacewith frequency, v0 . The block carries a charge +Q on its surface. ...A particle executes SHM with time period T and amplitude A. The maximum possible average velocity in time T/4 is...A child swinging on a swing in sitting position, stands up, then the time period of the swing will...A metre-long tube open at one end, with a movable piston at the other end, shows resonance with a fixed frequency source...