SHMHard
Question
A particle executes SHM with time period T and amplitude A. The maximum possible average velocity in time T/4 is
Options
A.
B.
C.
D.
Solution
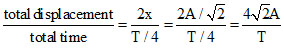
Maximum possible average velocity will be around mean position.
Average velocity in time

OR

φ = ωt =
cos φ =
⇒ cos
⇒ = 
Average velocity =
Average velocity in time
OR

φ = ωt =
cos φ =
Average velocity =
Create a free account to view solution
View Solution FreeMore SHM Questions
A particle moves along the Z - axis according to the equation z = 5 + 12 cos , where z is in cm and t is in seconds. sel...If the displacement, velocity and acceleration of a particle in SHM are 1 cm, 1cm/sec, 1cm/sec2 respectively its time pe...The distance between the point of suspension and the centre of gravity of a compound pendulum is l and the radius of gyr...A particle of mass m is attached to one end of a mass-less spring of force constant k, lying on a frictionless horizonta...The total energy of a vibrating particle in SHM is E. If its amplitude and time period are doubled, its total energy wil...