AIPMT | 2015Geometrical OpticsHard
Question
Two identical thin plano-convex glass lenses (refractive index 1.5) each having radius of curvature of 20 cm are placed with their convex surfaces in contact at the centre. The intervening space is filled with oil of refractive index 1.7. The focal length of the combination is :-
Options
A.-25 cm
B.-50 cm
C.50 cm
D.-20 cm
Solution

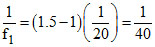
From lens maker′s formula
we have
&
Now
⇒
⇒ f = − 50 cm
Hence option (2)
Create a free account to view solution
View Solution FreeMore Geometrical Optics Questions
In a microscope of tube length 10 cm two convex lenses are arranged with focal length of 2 cm and 5 cm . Total magnifica...The magnifying power of telescope is found to be 9 and seperation between lenses is 20cm. what are focal lengths of comp...A thin prism having refracting angle 10o is made of glass of refractive index 1.42. This prism is combined with another ...If the refractive index of a material of equilateral prism is √3, then angle of minimum deviation of the prism is ...Two thin lenses are in contact and focal length of combination is 80cm If focal length of one lens is 20cm. Then power o...