Math miscellaneousHard
Question
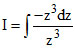
The integral
equals :
Options
A.− (x4 + 1)1/4 + C
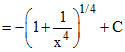
B.−
+ C
C.
+ C
D.(x4 + 1)1/4 + C
More Math miscellaneous Questions
If the system of linear equations x + ky + 3z = 0 3x + ky - 2z = 0 2x + 4y - 3z = 0 has a non-zero solution (x, y, z), t...dx is equal to...The image of the line in the plane 2x - y + z + 3 = 0 is the line...The function f(x) = 2|x| + |x + 2|- ||x + 2| - 2|x|| has a local minimum or a local maximum at x =...There are two urns. Urn A has 3 distinct red balls and urn B has 9 distinct blue balls. From each urn two balls are take...