Momentum and CollisionHard
Question
Consider an ideal gas confined in an isolated closed chamber. As the gas undergoes an adiabatic expansion, the average time of collision between molecules increases as Vq, where V is the volume of the gas. The value
of q is :-

of q is :-
Options
A.
B.
C.
D.
Solution
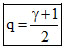
t ∝ 
t ∝ V1 T-1/2
For adiabatic process
t ∝ V1-γ
t ∝ V1T-1/2 ∝ Vγ+1/2
comparing

t ∝ V1 T-1/2
For adiabatic process
t ∝ V1-γ
t ∝ V1T-1/2 ∝ Vγ+1/2
comparing
Create a free account to view solution
View Solution FreeMore Momentum and Collision Questions
A small uniform tube is bent into a circular tube of radius R and kept in the vertical plane. Equal volumes of two liqui...Water rises to a height h in a capillary at the surface of earth. On the surface of the moon the height of water column ...A smooth sphere is moving on a horizontal surface with a velocity vector $(2\widehat{i} + 2\widehat{j})$ m/s immediately...You are holding a bottle of sparkling water inside a car moving forward. When the driver applies the brakes :-...Two very wide parallel glass plates are held vertically at a small separation, d, and dipped in water. Some water climes...