Complex NumbersHard
Question
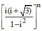
The least positive value of n for which
is a positive integer is -
Options
A.2
B.1
C.3
D.4
More Complex Numbers Questions
The common roots of the equations z3 + (1 + i)z + i = 0, (where i = and z1993 + 1 = 0 are - (where ω denotes the co...In the quadratic equation x2 + (p + iq) x + 3i = 0, p & q are real. If the sum of the squares of the roots is 8 then :...Which of the following is a complex number...The square root of −5 −12i is -...The value of is-...